APEX Whole Home Battery System[27]
A Residential Battery Energy Storage System (RBESS) is an integrated energy storage system (ESS) designed to provide residential energy resilience and flexibility. Its primary purpose is to store and release electrical energy on demand, typically when electricity is abundant or cheap, such as storing generated energy from rooftop solar panels during the day or charging from the grid during off-peak hours, and discharging when needed. Key applications include providing backup power during outages, maximizing solar self-consumption, reducing electricity bills through load shifting, and enabling participation in Virtual Power Plant (VPP) programs.
The system consists of a rechargeable battery pack (typically Lithium-Ion), an inverter to convert DC to AC power, and a battery management system (BMS) for control and safety. It interconnects with the home's electrical panel, the utility grid, and often a renewable energy source, acting as an intelligent hub to manage power flow and shift control from centralized utilities to individual households.
|
|
The Residential Battery Energy Storage System (RBESS) Technology is a decomposition of Energy Storage and Battery Energy Storage Systems (BESS).
![]() |
![]() |
The RBESS is comprised of 5 subsystems:
The Residential Battery Energy Storage roadmap has a dependency on technologies which may affect electrochemical composition:
RBESS taken out of the residential context, can be complimentary to several other technology roadmaps at different levels where Energy Storage might be needed across the energy value stream:
Higher-Level System Roadmaps: This roadmap is a key subsystem for broader energy and infrastructure systems, including:
Lower-Level Component Roadmaps: Progress in this technology is fundamentally dependent on advancements in its core components, including:
Peer & Competing Roadmaps: This technology coexists with and is sometimes challenged by alternative solutions, such as:
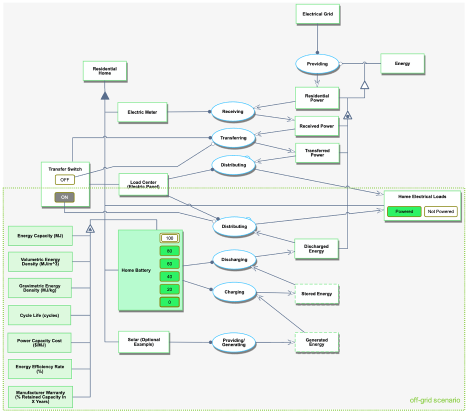
This Object-Process Diagram (OPD) showcases the scope of a residential battery system, illustrating the scenario of powering home electrical loads by providing stored energy while "off-grid". The model includes the system's interaction with the electrical grid, a residential home, and an optional solar installation. This example assumes the residence has a transfer switch allowing it to disconnect from the electrical grid, with the battery having been previously charged.

|
Name (FOM) |
Unit |
Definition |
Trend (dFOM/dt) |
| Energy Capacity | Megajoules (MJ) | The total amount of energy that can be stored. |
+ (Increasing) |
| Volumetric Energy Density | Megajoules/ cubic meters (MJ/m3) | The amount of stored energy per unit of volume. |
+ (Increasing) |
| Gravimetric Energy Density | Megajoules / kilogram (MJ/kg) | Efficiency - The amount of stored energy per unit of mass. |
+ (Increasing) |
| Cycle Life | cycles (#) | Durability - The number of charge-discharge cycles before capacity degradation to a predefined level. |
+ (Increasing) |
| Power Capacity Cost | Dollars (USD)/Megajoules ($/MJ) | Economic Feasibility - Relative cost per unit of energy storage. |
- (Decreasing) |
| Energy Efficiency Rate | Percent (%) | The percentage of energy retrieved relative to stored during a discharge cycle. |
+ (Increasing) |
| Manufacturer Warranty | Percent in Years (% in Years) | Longevity - A guarantee of how much capacity should be retained after a certain number of years. |
+ (Increasing) |



The following table contains the Strategic Drivers for our “Company” and the alignment between 3RBESS technology, FOM targets, and future outcomes for this technology roadmap:
| S/No. | Strategic Drivers | Alignment and Targets |
|
1 |
To deliver residential energy storage systems that provide sufficient energy capacity at a competitive price. | This roadmap is directly aligned with this driver. The objective is to achieve mass-market adoption by mitigating cost barriers, including equipment, installation, and financing. This strategy aims to disrupt incumbent utility models by quantifying the economic value proposition for the consumer. An FOM target between $150/MJ - $200/MJ (Power Capacity Cost) is established as the threshold for mass-market competitiveness. |
|
2 |
To differentiate its perfomance through superior storage capacity, reliability, and efficiency. | This driver focuses on establishing market leadership by setting the technical benchmark for performance. Capitalizing on superior energy density and total capacity is the primary differentiation strategy. The following FOM targets are set to achieve this technical leadership: 0.80 – 1.0 MJ/kg (Gravimetric Energy Density) and 40-60 MJ (Total Energy Capacity). |
|
3 |
To evolve the business model to support participation in virtual power plant (VPP) networks. | The goal is to enable grid-scale integration by developing VPP-ready systems. This capability creates new recurring revenue streams for the end-user via grid services, enhancing the system's overall value proposition. While a long-term initiative, VPP integration is a key enabler for accelerating adoption and driving exponential growth along the technology S-curve. |
This section analyzes the current competitive landscape for Residential Battery Energy Storage Systems (RBESS) to validate the strategic FOM targets defined earlier in the roadmap. The analysis benchmarks current commercial products to identify market positioning, performance gaps, and prevalent technical trade-offs.
Competitive Landscape Analysis
The competitive market is characterized by rapid advancements, as well as clear trade-offs between cost, capacity, and efficiency. The following data highlights several key insights:
Competitor Benchmarking
The figures and table below present the data for this analysis.
![]() |
![]() |
![]() |
![]() |
![]() |
![]() |
| Tesla Powerwall 3[3] |
SonnenBatterie Evo[4] |
FranklinWH aPower 2[5] | Enphase IQ 10C[6] | Anker Solix X1[7] | Ecoflow Ocean Pro[8] |
|
Name |
Price ($) |
Energy Capacity (kWh) |
Energy Capacity (MJ) |
Weight (kg) |
Efficiency (MJ/kg) |
Power Capacity Cost ($/MJ) |
Form Factor |
| SolarCity DemandLogic | 3,000 | 10.0 | 36.0 | 50 | 0.72 | 83.33 | Mounted |
| Tesla Powerwall 1 | 3,000 | 6.4 | 23.0 | 95 | 0.24 | 130.21 | Mounted |
| Tesla Powerwall 2 | 5,500 | 13.5 | 48.6 | 114 | 0.43 | 113.17 | Mounted |
| Tesla Powerwall+ | 8,500 | 13.5 | 48.6 | 156 | 0.31 | 174.90 | Mounted |
| SonnenBatterie Evo | 13,800 | 10.0 | 36.0 | 163 | 0.22 | 383.33 | Mounted |
| FranklinWH aPower X | 10,000 | 13.6 | 49.0 | 185 | 0.26 | 204.25 | Mounted |
| Enphase IQ 5P | 4,500 | 5.0 | 18.0 | 79 | 0.23 | 250.00 | Mounted |
| Tesla Powerwall 3 | 7,300 | 13.5 | 48.6 | 130 | 0.37 | 150.21 | Mounted |
| Anker Solix X1 | 6,500 | 10.0 | 36.0 | 177 | 0.20 | 180.56 | Mounted |
| FranklinWH aPower 2 | 10,000 | 15.0 | 54.0 | 162 | 0.33 | 185.19 | Mounted |
| Enphase IQ 10C | 6,800 | 10.0 | 36.0 | 57 | 0.63 | 188.89 | Mounted |
| Ecoflow Ocean Pro | 7,000 | 10.0 | 36.0 | 112 | 0.32 | 194.44 | Mounted |
The following provides an analysis of the design concept space, a technical model to evaluate product value, and a pareto frontier with a normalized sensitivity analysis.
The morphological matrix provides a technical model of the RBESS design universe. It maps core system functions to alternative forms (components or parameters). We can map current products from the Pareto frontier to this matrix, as well as our own future Strategic Target Concept derived from the FOM targets.
| Parameter | Concept 1 | Concept 2 | Concept 3 | Enphase IQ 10C (Efficiency Leader) | Tesla Powerwall 3 (Capacity Leader) | Strategic Target Concept (Our Goal) |
|---|---|---|---|---|---|---|
| Energy Capacity (MJ) | 0-20 | 21-40 | 41-60 | 🔲 (36) | ✅ (48.6) | ✅ (41-60) |
| Gravimetric Density (MJ/kg) | < 0.30 | 0.31 – 0.60 | > 0.60 | ✅ (> 0.60) | 🔲 (0.37) | ✅ (> 0.80) |
| Weight (kg) | < 80 | 81 - 160 | > 160 | ✅ (57) | 🔲 (130) | (Implied < 80kg) |
| Power Capacity Cost ($/MJ) | $0.00 - $100.00 | $100.01 - $200.00 | > $200.00 | 🔲 ($188.89) | 🔲 ($150.21) | 🔲 ($150-200) |
| Form Factor | Mounted | Detached | ✅ | ✅ | ✅ (Mounted) | |
| VPP Integration | None | VPP Ready | VPP Active | 🔲 | 🔲 | ✅ (VPP Active) |
Note: The Strategic Target Concept combines the best-in-class capacity (41-60 MJ) with a gravimetric density that leapfrogs all current competitors (> 0.80 MJ/kg) while remaining within the mass-market cost target. This is the design R&D must enable.

For the technical model, because this is a consumer product which must produce and ultimately sell units, we develop a utility-based model based on customer value.

The tradespace is modeled using the utility-based benefit equation above to quantify customer value. This enables us to assess the financial implications of technical trade-offs.
The following provides a further breakdown of the equation.
| Equation Breakdown | Definition | Description |
![]() |
![]() |
Initial costs of acquiring the system |
|
![]()
|
![]() |
Monthly benefits per month is the price of electricity avoided
Times the number of cycles per month |
![]() |
![]() |
Monthly costs per month is the available capacity / Round-trip efficiency (you have to make up for what you lost during discharged) times the cost buying from the grid during low cost periods
Plus any operational and maintenance costs (such as repairs) |
|
![]()
|
![]()
|
For accounting purposes, the amount of discount factor applied to future earned money, pulled forward in terms of today. Meaning money in the future is less valuable than money right now given the current state context |
Assumptions of the equation for simplicity:
There are a few figures of merit discussed above which can be broken down into further first principle equations:
| Description of FOM | Equation | Definition |
|---|---|---|
| Energy Capacity The capacity is based on battery arrangement (series and/or parallel) and total voltage and charge potential |
![]() |
![]() |
| Energy Efficiency Rate The proposed amount of energy which flows through the system factoring in some is loss due to heat |
![]() |
![]() |
The value model is used to analyze the tradespace and identify the most sensitive parameters, which in turn directs R&D strategy.
Pareto Frontier Analysis:
Sensitivity Analysis (Tornado Chart):
A sensitivity analysis on the NPV model identifies the most critical drivers of customer value.

The analysis reveals the top 5 most sensitive parameters:
| Incentive Rate | It should be noted that we chose a larger % change instead of a standard +10%. This was to mimic actual market conditions (e.g. 30% federal + local subsidies + utility subsidies vs. 0 subsidies) |
| Price Avoided | This is the price “saved” since consuming energy from the battery instead of buying from the grid at surged pricing. It should be noted we kept price of electricity static, though we know price of electricity has been steadily rising. In this example, the more prices rise the more recognized value being able to curtail that cost. |
| Energy Capacity | One of the primary Figures of Merit, especially if divided by costs. We kept ranges steady as there are physical limitations as mentioned above with the convenience and installation ease of the battery packs and the ability to provide more capacity. |
| Price Per Unit | As expected Price per unit is still very important. As demand grows and manufacturing capacity improves compounded by cheaper labor or automation, a decrease in price per unit would prove very favorable. |
| Price of Installation | As expected Price of installation is still very important. A common trend with newer market entrants is a form factor that is modular, lighter and requires less time and people to install, with components integrated so there are less accessory items to install. |
Actionable R&D Mandate:
This sensitivity analysis provides a clear mandate for R&D. While R&D cannot control Incentives or Grid Prices, it can directly address the other three factors. To maximize customer NPV, R&D funding should be prioritized for projects that:
The following financial analysis provides a 5-year projection of estimated cash flows along with an estimated net present value factored by a discount factor of 15% per annual basis.
The numbers reflect strategies our company will employ to differentiate ourselves from the rest of the market.
On a high level these strategies are:

The following assumptions are made:

Our 5-year Net Present Value with discount factor is estimated to be about $32MM.
Though profitable early on, we reach positive NPV at end of year 5 due to the large initial R&D expenditure.
In this section, we will outline our 72-month (competitor cycles + chemistry cycles + certification windows), $240MM R&D and commercialization program to develop a next-generation Residential Battery Energy Storage System (RBESS) platform, named APEX, that achieves our strategic concept detailed in section 7.
The portfolio consists of 16 projects organized into a four-tier, TRL-aligned structure:
| Segment | Projects |
Budget ($MM) |
% Total |
Key Focus |
|
T1 – Blue Sky R&D (TRL 1–3) |
T1.01: Solid-State High-Density Cell Chemistry T1.02: AI-Native Battery Health Prediction T1.03: Thermally Passive Battery Architecture |
15.4 |
6% |
Create long-term breakthroughs in cell chemistry, durability intelligence, and passive thermal performance |
|
T2 – Research & Technology Subsystems (TRL 3–6) |
T2.01: Modular High-Density Pack T2.02: Multi-Mode SiC Bidirectional Inverter T2.03: DC-Coupled Hybrid PV-RBESS Architecture T2.04: Fast-Swap Installation Hardware T2.05: VPP-Ready Communications Layer |
52.6 |
22% |
Develop subsystem technologies in packs, inverters, DC architecture, installation hardware, and VPP communications |
|
T3 – System Demonstrators (TRL 5–7) |
T3.01: “Falcon” High-Density System Prototype T3.02: VPP-Active Utility Demonstrator T3.03: Ultra-Low-Cost Installation Pilot T3.04: DC-Coupled Field Demonstrator |
66.2 |
28% |
Validate system-level performance through pilots, field tests, and integrated high-density prototypes |
|
T4 – Productization & Scale (TRL 6–9) |
T4.01: APEX Commercial RBESS Platform T4.02: 10-Year Reliability & Warranty Validation T4.03: Manufacturing Cost-Down Program T4.04: Smart-Home Energy OS |
105.8 |
44% |
Deliver the APEX commercial system via certification, reliability validation, cost-down, and smart-home energy orchestration |
| Total | 16 Projects |
240 |
100% |
Our RBESS strategy is built on a chemistry → subsystems → integrated demonstrator → product → cost-down trajectory over 72 months. This roadmap emphasizes:
| Driver | Technology Focus | Intended Advantage | Key FOMs | Linked Projects |
| Cost Leadership | Manufacturing cost-down, supply-chain optimization, install simplification | Achieve 150–200 USD/MJ and lower installed cost | Power Capacity Cost ($/MJ) | T1.03, T2.04, T3.03, T4.01, T4.03 |
| Performance leadership (density, capacity, efficiency) | Solid-state hybrids, modular high-density packs, advanced thermal design | Outperform Enphase and Tesla on MJ/kg and capacity | Gravimetric Energy Density (MJ/kg), Volumetric Energy Density (MJ/m³) | T1.01, T1.03, T2.01, T2.02, T2.03, T3.01, T3.04, T4.01 |
| Grid / VPP integration | VPP-native communications, aggregator APIs, forecasting | Unlock 200–400 USD/year VPP revenue per unit | Energy Efficiency Rate (%), Cycle Life (#) | T2.05, T3.02, T4.01, T4.04 |
| Reliability and warranty | AI prognostics, 10-year validation, accelerated aging | Strong 10-year warranty with low risk to OEM and utility | Cycle Life (#), Manufacturer Warranty (Years) | T1.02, T3.01, T4.01, T4.02 |
| Sustainability | Recyclable materials, low-impact chemistries, passive thermal | Compliance with future regulations and ESG expectations | Gravimetric Energy Density (MJ/kg), Volumetric Energy Density (MJ/m³) | T1.03, T2.01, T4.01 |
APEX is designed to match or beat Tesla on cost per MJ while delivering significantly higher MJ/kg. It surpasses Enphase on density and is competitive on cost. Additionally, it shortens installation time relative to major wall-mounted systems and provides open, standards-based VPP integration, rather than a closed ecosystem.
The table below summarizes indicative benchmark parameters:
| Product |
Approx Energy (MJ) |
Density (MJ/kg) |
Efficiency |
Cost (USD/MJ) |
Install Time (hrs.) |
VPP Capability |
| Tesla Powerwall 3 |
~36 |
~0.37 |
~90% |
~150 |
5 – 6 |
Partial / vendor-specific |
| Enphase IQ10C |
~37 |
~0.63 |
~89% |
~188 |
4 – 6 |
Yes (ecosystem) |
| BYD HVS |
30 – 40 |
~0.45 |
~88% |
~200 |
~6 |
Limited |
| Sonnen EcoLinx |
25 – 40 |
~0.30 |
~90% |
~300 |
~6 |
Yes |
| Anker Solix |
~30 |
~0.25 |
~85% |
~250 |
1 – 2 |
No |
| Team-6 APEX |
41 – 60 |
0.80 – 1.0 |
93 – 95% |
150 – 200 |
<4 |
Native, open Protocol |
Below are project ID cards which summarize scope, FOMs, and risks for each project:
|
ID |
Title | Description |
Budget ($MM) |
Key FOMs | Downstream Connection |
|
T1.01 |
Solid-State High-Density Chemistry | Establishes next-generation cell chemistry through solid-state and hybrid electrolyte pathways aimed at ≥0.80 MJ/kg. Work explores novel materials, interface stability and early manufacturability. This foundation directly enables future high-density modules and the Falcon prototype. |
6.8 |
Gravimetric Energy Density (MJ/kg) | T2.01, T3.01, T4.01 |
|
T1.02 |
AI-Native Battery Health Prediction | Develops long-horizon degradation and lifecycle prediction models combining physics and ML. Supports accurate warranty planning and reliability design for all downstream products. |
4.6 |
Cycle Life (#) | T2.05, T4.01, T4.02 |
|
T1.03 |
Thermally Passive Battery Architecture | Investigates advanced passive thermal strategies to reduce system mass and cooling complexity. Establishes scalable thermal concepts that improve density, safety and long-term efficiency. |
4 |
Energy Efficiency Rate (%) | T2.01, T2.02, T2.04, T3.01, T4.01 |
|
T2.01 |
Modular High-Density Pack | Designs a new generation of lightweight energy modules that integrate high-density cells and improved thermal pathways. Provides the structural and electrical foundation for Falcon and the APEX product. |
14.3 |
Volumetric Density (MJ/m³) | T3.01, T3.03, T4.01 |
|
T2.02 |
Multi-Mode SiC Bidirectional Inverter | Builds a high-efficiency SiC/GaN inverter platform enabling better round-trip efficiency and grid responsiveness. Becomes the core power electronics subsystem for all later systems. |
12.5 |
Energy Efficiency Rate (%) | T2.03, T3.01, T3.04, T4.01 |
|
T2.03 |
DC-Coupled Hybrid PV Architecture | Develops a streamlined PV-to-storage energy path to reduce conversion losses and improve solar coupling. Forms the basis of DC demonstrators and enhances APEX’s solar integration. |
10.3 |
Energy Efficiency Rate (%) | T3.04, T4.01 |
|
T2.04 |
Fast-Swap Installation Hardware | Creates modular installation hardware enabling significantly faster and lower-cost deployment. Aims to reduce customer acquisition and installation cost barriers. |
6.8 |
Power Capacity Cost ($/MJ) | T3.03, T4.03 |
|
T2.05 |
VPP-Ready Communications Layer | Establishes secure, standards-based communication for DER coordination, enabling future virtual power plant revenues. Forms the digital foundation for active grid participation. |
8.6 |
Energy Capacity (MJ) | T3.02, T4.04, T4.01 |
|
T3.01 |
Falcon High-Density System Prototype | Demonstrates integrated modules, power electronics and thermal concepts in a full system configuration. Validates performance targets and long-cycle durability before commercial productization. |
22.8 |
Gravimetric Energy Density (MJ/kg) | T4.01, T4.02 |
|
T3.02 |
VPP-Active Utility Demonstrator | Confirms grid-services capability by deploying coordinated units with utility partners. Provides real-world data for grid revenue models and validates communication protocols. |
17.1 |
Energy Capacity (MJ) | T4.04, T4.01 |
|
T3.03 |
Ultra-Low-Cost Installation Pilot | Tests real-world installation improvements using fast-swap hardware and lightweight modules, providing operational data for installation cost reduction targets. |
10.3 |
Power Capacity Cost ($/MJ) | T4.03 |
|
T3.04 |
DC-Coupled Field Demonstrator | Compares DC-coupled and AC-coupled configurations in field environments to confirm achievable efficiency gains and customer value impacts. |
16 |
Energy Efficiency Rate (%) | T4.01 |
|
T4.01 |
APEX Commercial RBESS | Delivers the flagship 40–60 MJ system achieving targeted density, cost, and grid capability. Integrates all validated subsystem technologies into a commercial-ready platform. |
48.5 |
Energy Capacity (MJ) | |
|
T4.02 |
10-Year Reliability & Warranty Validation | Establishes durability confidence through stress testing and accelerated aging, ensuring warranty retention and long-term performance commitments. |
17.1 |
Manufacturer Warranty (Years) | |
|
T4.03 |
Manufacturing Cost-Down Program | Optimizes production through supplier improvements, automation, and design-for-manufacture, enabling competitive mass-market pricing. |
25.7 |
Power Capacity Cost ($/MJ) | |
|
T4.04 |
Smart-Home Integrated Energy OS | Provides full home energy orchestration, including EV, appliance, and load coordination, enhancing customer value and enabling active VPP behavior. |
14.3 |
Energy Efficiency Rate (%) |
Phase 1 – Foundational R&D (Months 0–24)
| Project |
Start |
End |
Duration | Upstream Dependencies |
| T1.01 – Solid-State High-Density Chemistry |
M1 |
M24 |
24 months | None |
| T1.02 – AI-Native Battery Health Prediction |
M1 |
M18 |
18 months | None |
| T1.03 – Thermally Passive Architecture |
M1 |
M24 |
24 months | None |
Phase 2 – Breakthrough Subsystems (Months 12–36)
| Project |
Start |
End |
Duration | Upstream Dependencies |
| T2.01 – Modular High-Density Pack |
M13 |
M30 |
18 months | T1.01, T1.03 |
| T2.02 – SiC Bidirectional Inverter |
M13 |
M30 |
18 months | T1.03 |
| T2.03 – DC-Coupled PV-RBESS Architecture |
M19 |
M36 |
18 months | T2.02 |
| T2.05 – VPP-Ready Communications Layer |
M19 |
M72 |
54 months | None |
| T2.04 – Fast-Swap Installation Hardware |
M25 |
M42 |
18 months | T2.01, T1.03 |
Phase 3 – Falcon System Demonstrator & Platform Build (Months 24–54)
| Project |
Start |
End |
Duration | Upstream Dependencies |
| T3.01 – Falcon High-Density System Demo |
M25 |
M42 |
18 months | T2.01, T2.02, T1.01, T1.03 |
| T3.02 – VPP-Active Utility Demo |
M37 |
M72 |
36 months | T2.05 |
| T3.03 – Ultra-Low-Cost Installation Pilot |
M37 |
M48 |
12 months | T2.04 |
| T3.04 – DC-Coupled Field Demo |
M43 |
M54 |
12 months | T2.03, T2.02 |
Phase 4 – APEX Productization & Commercialization (Months 36–72)
| Project |
Start |
End |
Duration | Upstream Dependencies |
| T4.01 – APEX Commercial RBESS |
M31 |
M72 |
42 months | T2 (all), T3.01 |
| T4.02 – 10-Year Reliability & Warranty Validation |
M37 |
M60 |
24 months | T3.01 |
| T4.04 – Smart-Home Energy OS |
M43 |
M54 |
12 months | T2.05, T3.02 |
| T4.03 – Manufacturing Cost-Down Program |
M43 |
M72 |
30 months | T3.03 |
| T4.01 – APEX Commercial RBESS |
M31 |
M72 |
42 months | T2 (all), T3.01 |

Resource Plan (25 FTEs)
Technology Steering Committee: CTO, VP Product, Director R&D, Eng, Manufacturing, Finance
Risk Framework
| Risk | Probability | Impact |
Mitigation
|
| Solid-state chemistry instability | High | High | Maintain LFP/Li-ion fallback, run parallel chemistry paths, and enforce early TRL go/no-go |
| Thermal design underperformance | Medium | High | Build early prototypes, apply conservative derating, and validate with repeated thermal cycling tests |
| VPP regulatory shifts | Medium | Medium | Use standards-based interoperable APIs, maintain utility sandbox partnerships, and design flexible protocol layers |
| Supply-chain constraints | Medium | High | Dual-source critical components, hold buffer inventory, and pre-qualify alternative suppliers |
| Certification delays (UL/IEEE/NEC) | Medium | High | Start pre-compliance early, engage certification labs during design, and reserve schedule float in late stages |
| Talent constraints | High | Medium | Use targeted hiring, academic partnerships, contractor bench support, and cross-training programs |
References: see [9]-[23]
Residential Battery Energy Storage Systems (RBESS) have emerged as a cornerstone technology in the global transition toward decentralized, renewable-based power systems. As this technology expands, it enables households to transition from passive consumers to active participants in the energy market.
The development of RBESS, as reflected in these key works, illustrates the broader shift in energy innovation. By examining representative academic studies and industrial intellectual property, we can establish a foundation for roadmapping future design, control, and efficiency advancements. The selected works illustrate the field's evolution from (1) foundational hardware efficiency and grid stability, through (2) system-level techno-economic optimization, to (3) intelligent, AI-assisted energy management networks.
A patent search identifies three key CPC classifications for this technology:
1. Foundational Hardware & Grid Stability
2. Techno-Economic Optimization
1. Foundational Hardware Efficiency
2. System Connectivity & Management
3. AI-Driven Predictive Control
The APEX program establishes a next-generation Residential Battery Energy Storage System (RBESS) built around high-density chemistry, advanced power electronics, fast installation, and native grid-interactive capability. The strategy focuses on delivering 0.80–1.00 MJ/kg gravimetric density, 260–300 MJ/m³ volumetric density, 11–17 kWh capacity, 97–98% efficiency, and a sub-4-hour installation time, while enabling open, standards-based virtual power plant (VPP) participation.
Strategically, APEX targets cost leadership, performance leadership, grid/VPP revenue enablement, 10-year reliability, and scalable deployment. The platform is designed to outperform Tesla and Enphase in density, match cost competitiveness, reduce installation barriers, and offer open-ecosystem VPP integration. Key risks—chemistry maturity, certification delays, and supply-chain constraints—are managed through parallel chemistry paths, early pre-compliance, and diversified sourcing.
Success is measured through FOMs: cost ($/MJ), energy density, round-trip efficiency, cycle life, installation time, warranty durability, and VPP revenue potential. These metrics ensure alignment of R&D investments with the long-term objective: establishing APEX as the leading RBESS solution for a distributed, resilient, and grid-interactive residential energy future.
Chemistry & Fundamentals
Subsystem Development
System Demonstrators
Productization & Scale